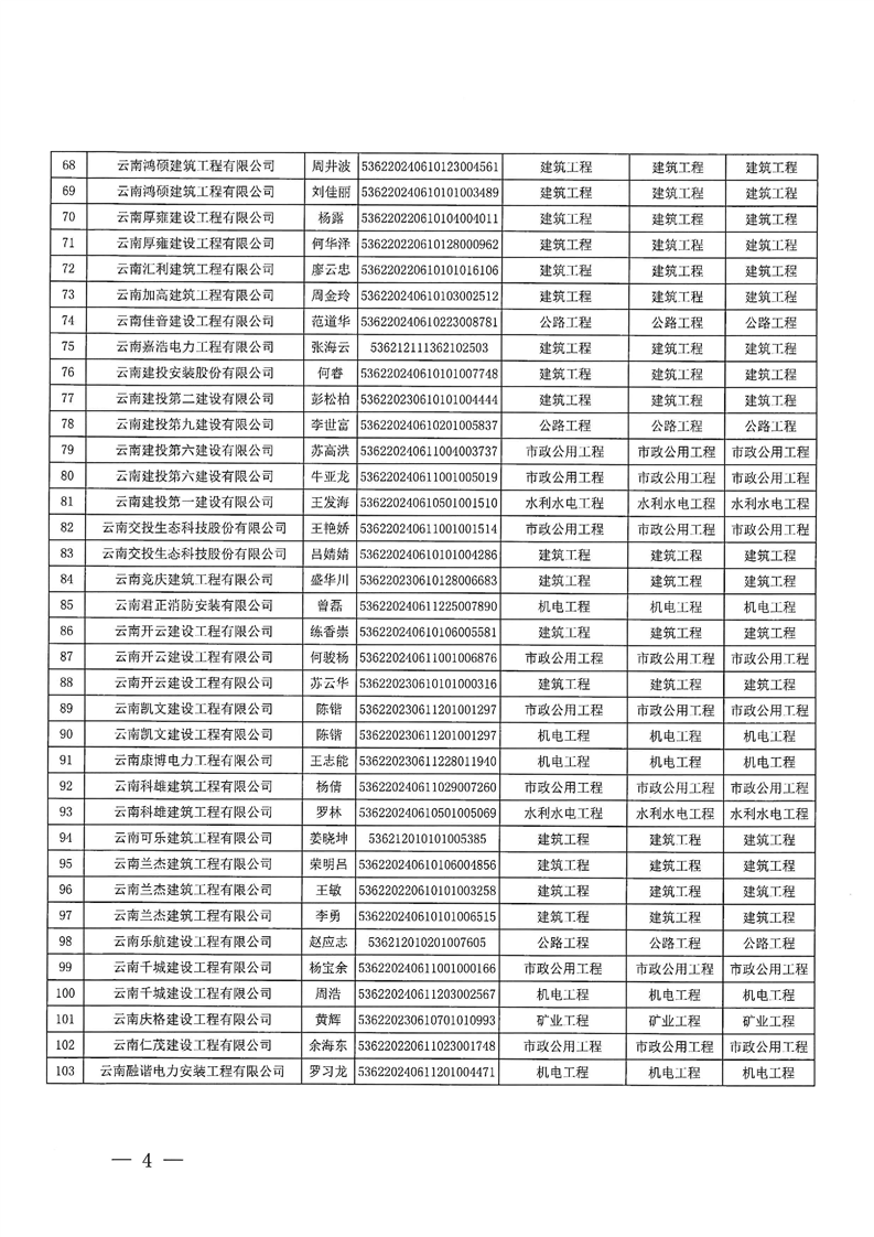
云南省住建厅关于2025年第12批二级建造师初始注册续注册增项注册重新注册的通告
作者:投稿用户 • 更新时间:2026-01-02 07:31:07






























原文地址:https://zfcxjst.yn.gov.cn/gongzuodongtai2/gongshigonggao4/293084.html
温馨提示:以上数据根据互联网公开信息整合而成,仅供用户参考。建议您使用前再次确认数据真实准确性,您的任何决策由您自行承担风险。免费咨询入口上一篇:铜仁市守护生命安全!这份防溺水知识请转发~~
下一篇:辽宁关于核准2024年第七批建设工程质量检测机构企业资质的公告
