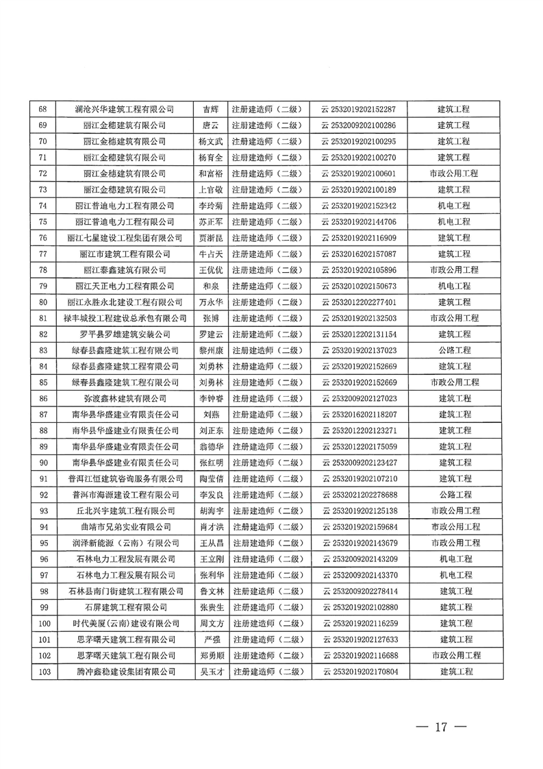
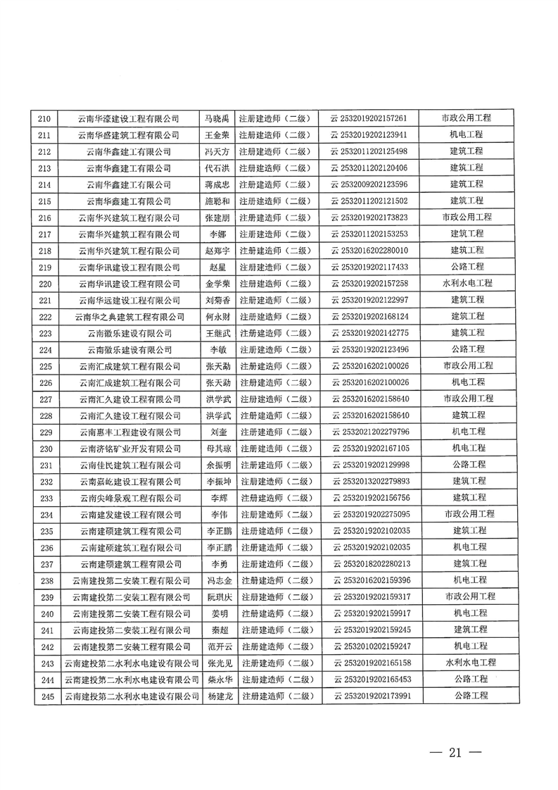
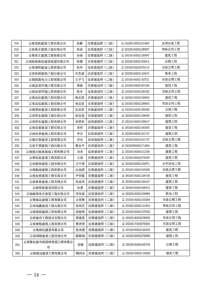
云南省住建厅关于2025年第11批二级建造师初始注册延续注册增项注重新注册的通告
作者:投稿用户 • 更新时间:2026-01-03 22:07:55






























原文地址:https://zfcxjst.yn.gov.cn/gongzuodongtai2/gongshigonggao4/293081.html
温馨提示:以上数据根据互联网公开信息整合而成,仅供用户参考。建议您使用前再次确认数据真实准确性,您的任何决策由您自行承担风险。免费咨询入口上一篇:九龙坡区多措并举开展控尘治理工作
下一篇:关于核准2024年度临沂第六批建筑施工企业安全生产许可证新申报和延期名单的公告
